weather widget icon
20.8 °C
ΚΥΡΙΑΚΗ
31.05.2026 16:54
Powered by:
Μέλος του ομίλου
Alpha Cyprus
alpha-letter
Advertisement
21.07.2022
ΚΥΠΡΟΣ
11:09

Ιδού τα αποτελέσματα για τις εξετάσεις των Έφεδρων Αξιωματικών της 2022 ΕΣΣΟ

ΥΠΑΜ: "Επιστέγασμα διαφανούς και αδιάβλητης διαδικασίας, με το Πανεπιστήμιο Κύπρου"
ALPHANEWSLIVE


Toυς εκατόν επιτυχόντες των εξετάσεων επιλογής των υποψήφιων έφεδρων αξιωματικών της 2022 ΕΣΣΟ, ανακοίνωσε πριν από λίγο το Υπουργείο Άμυνας. Τα αποτελέσματα παραδόθηκαν από τον Πρύτανη του Πανεπιστημίου Κύπρου Τάσο Χριστοφίδη, στον Υπουργό Άμυνας Χαράλαμπο Πετρίδη και στην παρουσία μελών της κοινοβουλευτικής Επιτροπής Άμυνας τα αποτελέσματα των εξετάσεων επιλογής των υποψήφιων έφεδρων αξιωματικών της 2022 ΕΣΣΟ.

Advertisement

Ξ

Σε γραπτή ανακοίνωση, το Υπουργείο Άμυνας αναφέρει ότι “η σημερινή παράδοση των αποτελεσμάτων αποτελεί το επιστέγασμα μιας διαφανούς και αδιάβλητης διαδικασίας που εφαρμόζεται μαζί με το Πανεπιστήμιο Κύπρου από το 1998.”

“Ο Υπουργός Άμυνας συγχαίρει όλους τους επιτυχόντες καθώς και όλους όσους συμμετείχαν στη διαδικασία και ευχαριστεί το Πανεπιστήμιο Κύπρου και την Υπηρεσία Εξετάσεων του Υπουργείου Παιδείας Νεολαίας και Αθλητισμού για τη συνεργασία και τη συμβολή τους στην ολοκλήρωση της διαδικασίας.”

Advertisement

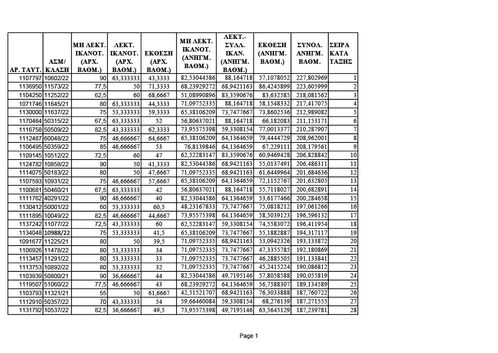
Δείτε τον σχετικό κατάλογο από τον οποίο επιτυχόντες θεωρούνται οι πρώτοι 100 σύμφωνα με τη βαθμολογία που συγκέντρωσαν:

ΚΑΤΑΛΟΓΟΣ ΔΟΚΙΜΩΝ

Advertisement

ΚΑΤΑΛΟΓΟΣ ΔΟΚΙΜΩΝ

ΚΑΤΑΛΟΓΟΣ ΔΟΚΙΜΩΝ

ΚΑΤΑΛΟΓΟΣ ΔΟΚΙΜΩΝ

Advertisement

ΚΑΤΑΛΟΓΟΣ ΔΟΚΙΜΩΝ

ΚΑΤΑΛΟΓΟΣ ΔΟΚΙΜΩΝ

ΚΑΤΑΛΟΓΟΣ ΔΟΚΙΜΩΝ

Advertisement

ΚΑΤΑΛΟΓΟΣ ΔΟΚΙΜΩΝ

Advertisement

ΔΙΑΒΑΣΤΕ ΕΠΙΣΗΣ

Βρείτε όλες τις θεματικές κατηγορίες του Alpha News παρακάτω

Ζωντανή Ροή Ειδήσεων

ΡΟΗ ΕΙΔΗΣΕΩΝ

More