weather widget icon
20.8 °C
ΔΕΥΤΕΡΑ
11.05.2026 4:51
Powered by:
Μέλος του ομίλου
Alpha Cyprus
alpha-letter
Advertisement
28.05.2019
ΚΥΠΡΟΣ
14:50

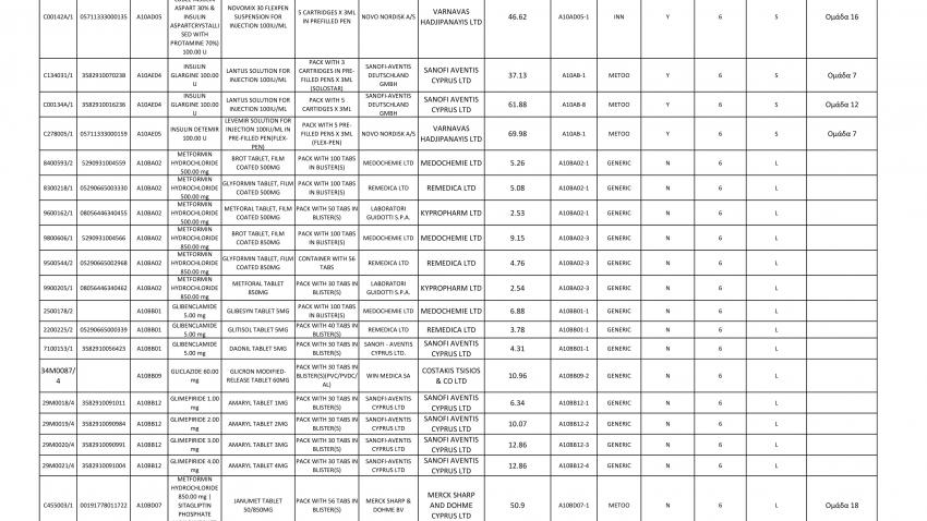
Τα πρώτα 1010 φάρμακα που είναι διαθέσιμα μέσω του ΓεΣΥ (ΦΩΤΟ)

Δείτε τον προκαταρτικό κατάλογο που δημοσιοποίησε ο Οργανισμός Ασφάλισης Υγείας


Περισσότερα από χίλια φάρμακα, τα οποία θα είναι διαθέσιμα και θα αποζημιώνονται από το Γενικό Σχέδιο Υγείας (ΓεΣΥ) από την 1η Ιουνίου 2019, περιλαμβάνει ο προκαταρτικός κατάλογος του ΟΑΥ που δημοσιοποιήθηκε σήμερα στην ιστοσελίδα του Οργανισμού. Ο Αναπληρωτής Γενικός Διευθυντής του Οργανισμού Ασφάλισης Υγείας (ΟΑΥ) ΄Αθως Τσινωντίδης τόνισε ότι ο κατάλογος θα εμπλουτίζεται ενόσω οι φαρμακευτικές εταιρείες θα μας ενημερώνουν ότι θα μπορούν να τροφοδοτήσουν την αγορά με νέα φάρμακα.

Advertisement

“Ο τελικός κατάλογος θα περιλαμβάνει περίπου 1500 φάρμακα”

Σε ερώτηση τι θα γίνει με τα φάρμακα που χρειάζονται οι δικαιούχοι και δεν θα περιλαμβάνονται στον κατάλογο, ανέφερε ότι «αυτή την στιγμή αυτά τα φάρμακα που περιλαμβάνονται στον κατάλογο είναι τα προϊόντα που σήμερα έχουν πωλήσεις στον ιδιωτικό τομέα».

“Είναι σημαντικό όμως, να πούμε ότι κάποια φάρμακα, τα οποία είναι ακριβές θεραπείες, τις οποίες οι δικαιούχοι ασθενείς λαμβάνουν από τα κρατικά νοσηλευτήρια, αυτά τα φάρμακα δεν εμφανίζονται στον κατάλογο που θα δημοσιευτεί και οι δικαιούχοι αυτοί θα συνεχίσουν να τα λαμβάνουν από τα κρατικά νοσηλευτήρια.”

Advertisement

ΔΕΙΤΕ ΑΝΑΛΥΤΙΚΑ ΤΟΝ ΚΑΤΑΛΟΓΟ ΠΑΤΩΝΤΑΣ ΕΔΩ

Advertisement




























































Advertisement

ΔΙΑΒΑΣΤΕ ΕΠΙΣΗΣ

Βρείτε όλες τις θεματικές κατηγορίες του Alpha News παρακάτω

Ζωντανή Ροή Ειδήσεων

ΡΟΗ ΕΙΔΗΣΕΩΝ

More